×
[PR]上記の広告は3ヶ月以上新規記事投稿のないブログに表示されています。新しい記事を書く事で広告が消えます。
緊急速報!mRNAで想定外の負の報告
(逆にコロナへの免疫を抑制)
一生の記憶になる可能性有り、特に子供は一旦接種中止して検討を!
元記事:宮澤大輔医師ネット
2022年7月25日 17:22
https://note.com/miyazawanet0709/n/n38faeb20cbdf
その要約。
その前に「私、気ままな父さん」の要約:
mRNAワクチンメーカーは、
コロナに敏感に感じてIgG抗体を大量に作らせることを至上の目標とした。
ところがIgGには4種類が有ること、
またその4番目が増えると病原体に鈍感になる機能を持つこと、
その機能がnRANの開発者には想定されていなかった。
この4番目が増強されるのは3回目の接種後の7ヶ月後に起きることがわかった。
これらのことすべて想定されていなかった。
このことが最近の集計で分かってきた、というものです。
Class switch towards non-inflammatory IgG isotypes after repeated SARS-CoV-2 mRNA vaccination
Repeated mRNA vaccinations are an efficient tool to combat th
www.medrxiv.org
宮澤太輔医師の紹介
https://note.com/miyazawanet0709/n/n5a43ca814bce
発表者:
7月10日にドイツの複数の大学研究室グループがmRNAワクチンに関して論文を発表。
発表概要:
mRNAに限り(アストラゼネカのDNAワクチンでは認めず)繰り返し接種することで
新型コロナに対して逆に免疫抑制を起こしてしまこと。
それがブレークスルー感染の原因の一部では無いかの疑い。
我が国の報道:
データ改竄問題があった。
世界の論文:
接種後時間が経つと逆に感染しやすくなるという報告がある。
ADE(抗体依存性感染増強)以外にもこのメカニズムが原因かも知れない。
この論文では
他の病気等への免疫全般が抑制されるかどうかは全く示していません。
Tregとの関連も述べていない。(Th2系とは無関係であることは示しています)。
概要:
「新型コロナウイルスに対して免疫が抑制される」ことを示している。
中間提言:
立ち止まらずにこのまま何回もmRNAを接種するのはとんでもない。
IgGには4種類有る:
ワクチンはIgGという抗体を作らせる。
IgGにもIgG1からIgG4の4つのタイプがある。
IgG1とIgG3は
ウイルスに結合するとマクロファージなどを呼び寄せ貪食させることで排除に働く。
一般的に「抗体」のイメージ通りの働きをします。
一方でIgG2とIgG4は
逆にこの物体は異物ではありませんよ、
という標識になり寛容的に働くことが分かっています。
その例:
例えばアレルギーの治療で舌下免疫療法というものがある。
ダニやスギ花粉のエキスを舌の下に入れる方法:
これは異物ではありませんよ、と反応を起こさないように体に学習させる。
その際にもIgG4が沢山誘導されることで、
ダニやスギ花粉に免疫寛容になる重要なメカニズム。
IgG4の大増産:
その免疫寛容を起こすIgG4がmRNAに限り顕著に検出された。
ブースターで増幅されたという報告。
これは、全く想定外の重大な結果であり、緊急に検討が必要。
mRNAは
製薬会社も言うように長期の作用は未知の事ばかり。
それなのに接種させたいばかりに安全性は確かめられたと
ほぼノーリスクを前提に接種を推奨した。
必要なリスク説明を怠った政府や医師たちの責任は重いです。
論文では
「mRNAワクチンは確かに多くの死亡を防いだ、しかし」とある。
子どもではそのメリットさえ無かった。
そしてこのmRNAを注射されたことで、
子どもは一生コロナウイルスを「異物では無い」という
学習が刷り込まれる可能性がある。
詳細:
「そのメカニズムとは無関係に、
抗ウイルスIgG4抗体の誘導は非常に珍しい現象であり、
その機能的な後遺症について重要な問題を提起している。」
Independent of the underlying mechanism, the induction of antiviral IgG4 antibodies is a very unusual phenomenon and raises important questions on its functional sequelae.
とのことで、
通常のRSウイルスや破傷風ワクチンやアストラゼネカワクチンは見られない、
mRNAワクチンのみに見られる現象とのこと。
このことは、ワクチンによる防御には、
ワクチンで誘導された抗体の量だけでなく、質が重要であることを示している。
This demonstrates that the quality and not only the quantity of vaccine-induced antibodies is important for vaccine-induced protection.
IgG抗体は4つのタイプがあって免疫亢進するものと抑制するものがある
なんて盲目的推進派の医師や厚労省技官の何人が知っているでしょうか。
私も知りませんでした。
単に抗体の総量だけ達成を喜んでいたことがいかに浅はかなことであったかという事です。
抗体にはADEをおこしたり、
このようにタイプによっては逆に免疫抑制に働いたりするものもあり、
量だけ増やせば良いというものでは無いのです。
上記グラフのFU post 2ndとは2回接種後約7か月後
(3回目直前。ドイツでは3回目は2回後7か月開けるようです)。
この論文では特に免疫抑制を起こすIgG4に注目していますが、
1回目と2回目直後には全くIgG4は検出されていないのが、
2回接種後7か月経つと出てきて、
3回目接種直後でそれが増幅されているのが分かります。
逆に効果があるとされているIgG1とIgG3は2回接種後7か月で下がってしまい
3回接種直後でも2回接種直後と同等(IgG1)かそれ以下(IgG3)です。
画像2
BNTとはファイザーmRNAワクチンのことでChAdはアストラゼネカです。
その2回の組み合わせ接種後の約5か月後が示されています。
免疫抑制になるIgG4はファイザー2回が一番高いことが分かります。
アストラゼネカ2回ではIgG4は低いです。
つまり同じコロナワクチンでもmRNAはアストラゼネカには無い
未知のメカニズムが存在するということです。
画像3
ファイザー3回接種直後のデータです。Jのグラフを見てください。2回接種直後より3回目の方がIgG抗体による貪食細胞(マクロファージなど)による貪食作用が下がっています。IgG4増加による抑制が原因として考えられます。
0-1-7か月のスケジュールのワクチン接種者は(0-1-2か月のスケジュール患者より、マクロファージによる)貪食作用の減少を示し、IgG4抗体反応と相関していた。In a follow-up study, vaccinees showed reduced levels of OPA, which correlated with higher and more consistent IgG4 antibody responses after the delayed vaccine regimen.
IgG4no出現:
mRNA接種後の免疫抑制IgG4の出現には数か月要するようです。
そして7か月後に同じ抗原(同じ武漢株スパイク)用のmRNAを投与されると
抑制作用のあるIgG4がブーストされてしまうというメカニズムです。
そもそも人類にとって、全く変異していない同じ抗原、
つまりコロナウイルスのスパイク(全て武漢株用)が短期間に2回続けて、
さらに数か月後に3回も体内に大量に入って来ると言う状況は自然界であり得ない
わけで、mRNAの未知の作用によって、未知のスイッチが入り、
結果としてまるで舌下免疫療法のように
「これは異物では無い」という認識を人体の免疫システムを
持つのではないでしょうか。
そして追加接種をするごとに
どうもその免疫抑制のIgG4は増強されていく可能性が高いようです。
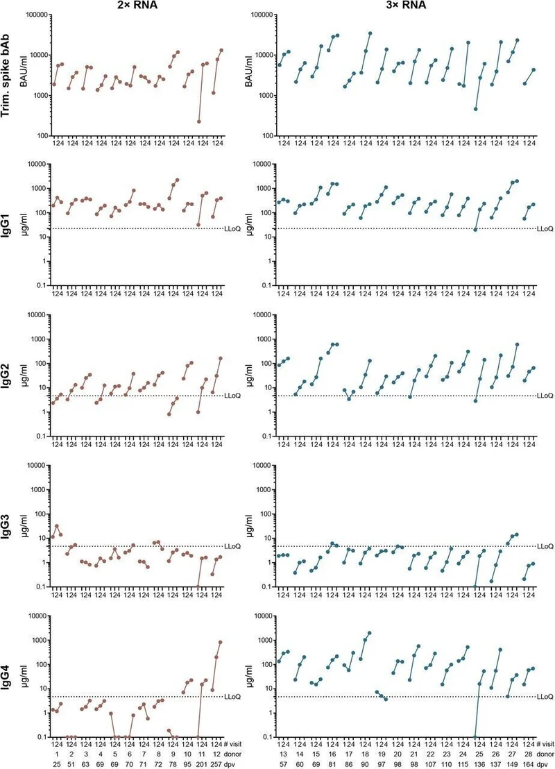
画像4
上記グラフは2回接種後(12人、左)または3回接種後(16人、右)に
コロナにブレークスルー感染した人のそれぞれの抗体の値を示しています。
点線以下は定量できないレベル(ほとんど無いということ)です。
2回接種後にコロナに感染した人でIgG4が検出できたのは3人でしたが、
その患者たちは2回接種後95-257日と長期経過していた患者でした。
2回接種後25-78日に感染した患者はIgG4は殆ど検出されませんでした。
一方3回接種してからコロナに感染した患者は感染後の経過日数に関わらず、
1人を除き全員IgG4が検出されました。
しかも3人の患者は感染初期からIgG4が他のIgG(1-3)に比べて
最も優位という結果でした。
2回接種後時間が経過した後にコロナに感染すると
コロナへの免疫を抑制するIgG4が増えてしまうという事です。
そしてそれは3回接種後にブレークスルー感染した場合に顕著なようです。
いずれにせよ、mRNAワクチン自体、
あるいは最初の2回の注射のタイミングが狭かったことが、
この効果の原因である可能性があります。
In any case, the mRNA vaccine itself and/or the narrow timing of the first two shots could be responsible for this effect.
さらに、全抗体反応は同等であったが、
アストラゼネカ接種後にmRNAを1回投与する異種免疫と比較して、
mRNAを2回投与した後にIgG4レベルが有意に高くなることが観察された。
このことは、スパイク蛋白質への反復暴露自体が異常なIgG4反応を引き起こすという
仮説を否定するものである。
全体として、我々の知見は、ワクチンによる異常なIgG4反応は、
mRNAワクチン固有の免疫の特異的特徴、
あるいは初回免疫と2回目免疫の間の比較的短い間隔(3週間)、
またはその両方であるという考えを支持するものであった。
Furthermore, we observed significantly higher IgG4 levels after two doses of mRNA compared to a heterologous immunization with a primary Vaxcevria vaccination followed by one dose of mRNA, although the total anti-S response was comparable. This argues against the hypothesis that repeated exposure to the spike protein itself triggers the unusual IgG4 response. Overall, our findings support the notion that the unusual vaccine-induced IgG4 response could be a specific feature of immunizations with mRNA vaccines or the relatively short interval between first and second immunization (three weeks) or both.
浅はかな人類は抗体の値だけ上げようとして、
全く作用の未知が多いmRNAをまず2回連続で打ったわけです。
それは自然界ではあり得ない状況で、
人間の免疫システムがどう認識するかも全く未知だったわけです。
その結果人体は「こんなに繰り返し同じものがmRNAとして入って来るようなものは
異物では無いようだから免疫を抑えよう」という認識に至った訳です。
普通のmRNAを投与すると激烈な免疫反応が起こって使えないために、
このmRNAは人体を騙して免疫反応を抑えるために
アミノ酸(偽ウリジン)を改変しています。
その作用は全く未知です。
人類に実用投与するのは初めてですから。
特に幼少時の免疫記憶は一生続く傾向にあり、
このようなリスクを考えずメリットの極めて少ない生後6か月の乳児に
mRNAを注射するなど言語道断です。
一生コロナに対する免疫応答が未接種の子どもと異なった人生を歩む可能性もあります。
だから私はそもそも重症化しない子どもへの緊急承認mRNAワクチンの接種を
全身全霊で反対してきたわけです。
このようなことが徐々に明らかになっても、
厚労省や子供含めた盲目的推進派医師は
「当時は分からなかったので仕方ない」と言い訳をするでしょう。
しかしファイザー自身が「長期作用は未知だ」と説明していることを隠して
未知のリスクは無いかのように説明して医療行為をイデオロギー的に
行きすぎた推奨をした罪から逃れることは出来ません。
この人類には未知のmRNAワクチンは未知のリスクを加味して
メリットとデメリットの天秤にかけないといけません。
一生への影響が大きい可能性の高い子どもへのmRNA接種は一旦中止して
十分に検討してください!
追記1
私は一年以上前にnatureに同じmRNAワクチンで多発性硬化症という
自己免疫性疾患の免疫寛容を誘導したという発表があった。
その時から、何故全く同じ手法で一方ではmRNA導入によって
人間の細胞に発現させたスパイク抗原に免疫を誘導し、
一方では多発性硬化症の免疫寛容を誘導するのか、非常に疑問に思っていた。
その点について某大学の免疫学者に何度もメールで質問し、
閲覧が有料の論文も含めてヒントを探しまわったが、何も得られなかった。
結論としてはその違いの部分はファイザーが企業秘密として明かさないのでは
という推論で終わった。
BioNTechの社長は偉い。
このタイミングでこれを発表することは物議をかもしかねないのに。
同じ手法で一方ではmRNA導入によって人間の細胞に発現させた抗原に免疫を誘導し、
一方では免疫寛容を誘導したことになるからだ。
https://t.co/ozqBaTeUxd
— 【宝塚の宮澤】医師 宮澤大輔 Daisuke Miyazawa
コロナワクチン年齢別派 (@blanc0981) February 8, 2021
記事をTwitterで引用していただく方はここが便利かも 「ツイート」
(逆にコロナへの免疫を抑制)
一生の記憶になる可能性有り、特に子供は一旦接種中止して検討を!
元記事:宮澤大輔医師ネット
2022年7月25日 17:22
https://note.com/miyazawanet0709/n/n38faeb20cbdf
その要約。
その前に「私、気ままな父さん」の要約:
mRNAワクチンメーカーは、
コロナに敏感に感じてIgG抗体を大量に作らせることを至上の目標とした。
ところがIgGには4種類が有ること、
またその4番目が増えると病原体に鈍感になる機能を持つこと、
その機能がnRANの開発者には想定されていなかった。
この4番目が増強されるのは3回目の接種後の7ヶ月後に起きることがわかった。
これらのことすべて想定されていなかった。
このことが最近の集計で分かってきた、というものです。
Class switch towards non-inflammatory IgG isotypes after repeated SARS-CoV-2 mRNA vaccination
Repeated mRNA vaccinations are an efficient tool to combat th
www.medrxiv.org
宮澤太輔医師の紹介
https://note.com/miyazawanet0709/n/n5a43ca814bce
発表者:
7月10日にドイツの複数の大学研究室グループがmRNAワクチンに関して論文を発表。
発表概要:
mRNAに限り(アストラゼネカのDNAワクチンでは認めず)繰り返し接種することで
新型コロナに対して逆に免疫抑制を起こしてしまこと。
それがブレークスルー感染の原因の一部では無いかの疑い。
我が国の報道:
データ改竄問題があった。
世界の論文:
接種後時間が経つと逆に感染しやすくなるという報告がある。
ADE(抗体依存性感染増強)以外にもこのメカニズムが原因かも知れない。
この論文では
他の病気等への免疫全般が抑制されるかどうかは全く示していません。
Tregとの関連も述べていない。(Th2系とは無関係であることは示しています)。
概要:
「新型コロナウイルスに対して免疫が抑制される」ことを示している。
中間提言:
立ち止まらずにこのまま何回もmRNAを接種するのはとんでもない。
IgGには4種類有る:
ワクチンはIgGという抗体を作らせる。
IgGにもIgG1からIgG4の4つのタイプがある。
IgG1とIgG3は
ウイルスに結合するとマクロファージなどを呼び寄せ貪食させることで排除に働く。
一般的に「抗体」のイメージ通りの働きをします。
一方でIgG2とIgG4は
逆にこの物体は異物ではありませんよ、
という標識になり寛容的に働くことが分かっています。
その例:
例えばアレルギーの治療で舌下免疫療法というものがある。
ダニやスギ花粉のエキスを舌の下に入れる方法:
これは異物ではありませんよ、と反応を起こさないように体に学習させる。
その際にもIgG4が沢山誘導されることで、
ダニやスギ花粉に免疫寛容になる重要なメカニズム。
IgG4の大増産:
その免疫寛容を起こすIgG4がmRNAに限り顕著に検出された。
ブースターで増幅されたという報告。
これは、全く想定外の重大な結果であり、緊急に検討が必要。
mRNAは
製薬会社も言うように長期の作用は未知の事ばかり。
それなのに接種させたいばかりに安全性は確かめられたと
ほぼノーリスクを前提に接種を推奨した。
必要なリスク説明を怠った政府や医師たちの責任は重いです。
論文では
「mRNAワクチンは確かに多くの死亡を防いだ、しかし」とある。
子どもではそのメリットさえ無かった。
そしてこのmRNAを注射されたことで、
子どもは一生コロナウイルスを「異物では無い」という
学習が刷り込まれる可能性がある。
詳細:
「そのメカニズムとは無関係に、
抗ウイルスIgG4抗体の誘導は非常に珍しい現象であり、
その機能的な後遺症について重要な問題を提起している。」
Independent of the underlying mechanism, the induction of antiviral IgG4 antibodies is a very unusual phenomenon and raises important questions on its functional sequelae.
とのことで、
通常のRSウイルスや破傷風ワクチンやアストラゼネカワクチンは見られない、
mRNAワクチンのみに見られる現象とのこと。
このことは、ワクチンによる防御には、
ワクチンで誘導された抗体の量だけでなく、質が重要であることを示している。
This demonstrates that the quality and not only the quantity of vaccine-induced antibodies is important for vaccine-induced protection.
IgG抗体は4つのタイプがあって免疫亢進するものと抑制するものがある
なんて盲目的推進派の医師や厚労省技官の何人が知っているでしょうか。
私も知りませんでした。
単に抗体の総量だけ達成を喜んでいたことがいかに浅はかなことであったかという事です。
抗体にはADEをおこしたり、
このようにタイプによっては逆に免疫抑制に働いたりするものもあり、
量だけ増やせば良いというものでは無いのです。
上記グラフのFU post 2ndとは2回接種後約7か月後
(3回目直前。ドイツでは3回目は2回後7か月開けるようです)。
この論文では特に免疫抑制を起こすIgG4に注目していますが、
1回目と2回目直後には全くIgG4は検出されていないのが、
2回接種後7か月経つと出てきて、
3回目接種直後でそれが増幅されているのが分かります。
逆に効果があるとされているIgG1とIgG3は2回接種後7か月で下がってしまい
3回接種直後でも2回接種直後と同等(IgG1)かそれ以下(IgG3)です。
画像2
BNTとはファイザーmRNAワクチンのことでChAdはアストラゼネカです。
その2回の組み合わせ接種後の約5か月後が示されています。
免疫抑制になるIgG4はファイザー2回が一番高いことが分かります。
アストラゼネカ2回ではIgG4は低いです。
つまり同じコロナワクチンでもmRNAはアストラゼネカには無い
未知のメカニズムが存在するということです。
画像3
ファイザー3回接種直後のデータです。Jのグラフを見てください。2回接種直後より3回目の方がIgG抗体による貪食細胞(マクロファージなど)による貪食作用が下がっています。IgG4増加による抑制が原因として考えられます。
0-1-7か月のスケジュールのワクチン接種者は(0-1-2か月のスケジュール患者より、マクロファージによる)貪食作用の減少を示し、IgG4抗体反応と相関していた。In a follow-up study, vaccinees showed reduced levels of OPA, which correlated with higher and more consistent IgG4 antibody responses after the delayed vaccine regimen.
IgG4no出現:
mRNA接種後の免疫抑制IgG4の出現には数か月要するようです。
そして7か月後に同じ抗原(同じ武漢株スパイク)用のmRNAを投与されると
抑制作用のあるIgG4がブーストされてしまうというメカニズムです。
そもそも人類にとって、全く変異していない同じ抗原、
つまりコロナウイルスのスパイク(全て武漢株用)が短期間に2回続けて、
さらに数か月後に3回も体内に大量に入って来ると言う状況は自然界であり得ない
わけで、mRNAの未知の作用によって、未知のスイッチが入り、
結果としてまるで舌下免疫療法のように
「これは異物では無い」という認識を人体の免疫システムを
持つのではないでしょうか。
そして追加接種をするごとに
どうもその免疫抑制のIgG4は増強されていく可能性が高いようです。
画像4
上記グラフは2回接種後(12人、左)または3回接種後(16人、右)に
コロナにブレークスルー感染した人のそれぞれの抗体の値を示しています。
点線以下は定量できないレベル(ほとんど無いということ)です。
2回接種後にコロナに感染した人でIgG4が検出できたのは3人でしたが、
その患者たちは2回接種後95-257日と長期経過していた患者でした。
2回接種後25-78日に感染した患者はIgG4は殆ど検出されませんでした。
一方3回接種してからコロナに感染した患者は感染後の経過日数に関わらず、
1人を除き全員IgG4が検出されました。
しかも3人の患者は感染初期からIgG4が他のIgG(1-3)に比べて
最も優位という結果でした。
2回接種後時間が経過した後にコロナに感染すると
コロナへの免疫を抑制するIgG4が増えてしまうという事です。
そしてそれは3回接種後にブレークスルー感染した場合に顕著なようです。
いずれにせよ、mRNAワクチン自体、
あるいは最初の2回の注射のタイミングが狭かったことが、
この効果の原因である可能性があります。
In any case, the mRNA vaccine itself and/or the narrow timing of the first two shots could be responsible for this effect.
さらに、全抗体反応は同等であったが、
アストラゼネカ接種後にmRNAを1回投与する異種免疫と比較して、
mRNAを2回投与した後にIgG4レベルが有意に高くなることが観察された。
このことは、スパイク蛋白質への反復暴露自体が異常なIgG4反応を引き起こすという
仮説を否定するものである。
全体として、我々の知見は、ワクチンによる異常なIgG4反応は、
mRNAワクチン固有の免疫の特異的特徴、
あるいは初回免疫と2回目免疫の間の比較的短い間隔(3週間)、
またはその両方であるという考えを支持するものであった。
Furthermore, we observed significantly higher IgG4 levels after two doses of mRNA compared to a heterologous immunization with a primary Vaxcevria vaccination followed by one dose of mRNA, although the total anti-S response was comparable. This argues against the hypothesis that repeated exposure to the spike protein itself triggers the unusual IgG4 response. Overall, our findings support the notion that the unusual vaccine-induced IgG4 response could be a specific feature of immunizations with mRNA vaccines or the relatively short interval between first and second immunization (three weeks) or both.
浅はかな人類は抗体の値だけ上げようとして、
全く作用の未知が多いmRNAをまず2回連続で打ったわけです。
それは自然界ではあり得ない状況で、
人間の免疫システムがどう認識するかも全く未知だったわけです。
その結果人体は「こんなに繰り返し同じものがmRNAとして入って来るようなものは
異物では無いようだから免疫を抑えよう」という認識に至った訳です。
普通のmRNAを投与すると激烈な免疫反応が起こって使えないために、
このmRNAは人体を騙して免疫反応を抑えるために
アミノ酸(偽ウリジン)を改変しています。
その作用は全く未知です。
人類に実用投与するのは初めてですから。
特に幼少時の免疫記憶は一生続く傾向にあり、
このようなリスクを考えずメリットの極めて少ない生後6か月の乳児に
mRNAを注射するなど言語道断です。
一生コロナに対する免疫応答が未接種の子どもと異なった人生を歩む可能性もあります。
だから私はそもそも重症化しない子どもへの緊急承認mRNAワクチンの接種を
全身全霊で反対してきたわけです。
このようなことが徐々に明らかになっても、
厚労省や子供含めた盲目的推進派医師は
「当時は分からなかったので仕方ない」と言い訳をするでしょう。
しかしファイザー自身が「長期作用は未知だ」と説明していることを隠して
未知のリスクは無いかのように説明して医療行為をイデオロギー的に
行きすぎた推奨をした罪から逃れることは出来ません。
この人類には未知のmRNAワクチンは未知のリスクを加味して
メリットとデメリットの天秤にかけないといけません。
一生への影響が大きい可能性の高い子どもへのmRNA接種は一旦中止して
十分に検討してください!
追記1
私は一年以上前にnatureに同じmRNAワクチンで多発性硬化症という
自己免疫性疾患の免疫寛容を誘導したという発表があった。
その時から、何故全く同じ手法で一方ではmRNA導入によって
人間の細胞に発現させたスパイク抗原に免疫を誘導し、
一方では多発性硬化症の免疫寛容を誘導するのか、非常に疑問に思っていた。
その点について某大学の免疫学者に何度もメールで質問し、
閲覧が有料の論文も含めてヒントを探しまわったが、何も得られなかった。
結論としてはその違いの部分はファイザーが企業秘密として明かさないのでは
という推論で終わった。
BioNTechの社長は偉い。
このタイミングでこれを発表することは物議をかもしかねないのに。
同じ手法で一方ではmRNA導入によって人間の細胞に発現させた抗原に免疫を誘導し、
一方では免疫寛容を誘導したことになるからだ。
https://t.co/ozqBaTeUxd
— 【宝塚の宮澤】医師 宮澤大輔 Daisuke Miyazawa
コロナワクチン年齢別派 (@blanc0981) February 8, 2021
PR
ブログ内検索
検索はここから
カレンダー
09 | 2025/10 | 11 |
S | M | T | W | T | F | S |
---|---|---|---|---|---|---|
1 | 2 | 3 | 4 | |||
5 | 6 | 7 | 8 | 9 | 10 | 11 |
12 | 13 | 14 | 15 | 16 | 17 | 18 |
19 | 20 | 21 | 22 | 23 | 24 | 25 |
26 | 27 | 28 | 29 | 30 | 31 |
カテゴリー
私は何者?
HN:
気ままな父さん
年齢:
69
性別:
男性
誕生日:
1956/10/12
職業:
フリーター
趣味:
預言 つぶやき 経済統計 数学
自己紹介:
海外を渡って、所謂イルミナティ(気弱な金持ちの互助会)と対峙している世界を見た。
その中に飛び込んだ経験から、陰謀論的な書き込みに見えるかもしれないけれどもが、
体験したもののとか確信したものを積み立てた結果を書いています。
ですが、普通の人には結構驚いてくれるかもしれませんね。
パッと目には陰謀論じゃないとみられることもある内容です。
すべて体験済のことがベースです。フィクションを書くつもりgはありません。
ま、そんな感じでオリジナルな分析で好きなこと書き込んでます。
IX お魚のマークです I l o v e j e s u s
Skype=basic_income
その中に飛び込んだ経験から、陰謀論的な書き込みに見えるかもしれないけれどもが、
体験したもののとか確信したものを積み立てた結果を書いています。
ですが、普通の人には結構驚いてくれるかもしれませんね。
パッと目には陰謀論じゃないとみられることもある内容です。
すべて体験済のことがベースです。フィクションを書くつもりgはありません。
ま、そんな感じでオリジナルな分析で好きなこと書き込んでます。
IX お魚のマークです I l o v e j e s u s
Skype=basic_income
プロフィール
HN:
気ままな父さん
年齢:
69
性別:
男性
誕生日:
1956/10/12
職業:
フリーター
趣味:
預言 つぶやき 経済統計 数学
自己紹介:
海外を渡って、所謂イルミナティ(気弱な金持ちの互助会)と対峙している世界を見た。
その中に飛び込んだ経験から、陰謀論的な書き込みに見えるかもしれないけれどもが、
体験したもののとか確信したものを積み立てた結果を書いています。
ですが、普通の人には結構驚いてくれるかもしれませんね。
パッと目には陰謀論じゃないとみられることもある内容です。
すべて体験済のことがベースです。フィクションを書くつもりgはありません。
ま、そんな感じでオリジナルな分析で好きなこと書き込んでます。
IX お魚のマークです I l o v e j e s u s
Skype=basic_income
その中に飛び込んだ経験から、陰謀論的な書き込みに見えるかもしれないけれどもが、
体験したもののとか確信したものを積み立てた結果を書いています。
ですが、普通の人には結構驚いてくれるかもしれませんね。
パッと目には陰謀論じゃないとみられることもある内容です。
すべて体験済のことがベースです。フィクションを書くつもりgはありません。
ま、そんな感じでオリジナルな分析で好きなこと書き込んでます。
IX お魚のマークです I l o v e j e s u s
Skype=basic_income
フリーエリア
最新CM
[01/14 Hemanzo]
[01/14 LekuvalFup]
[01/13 Skerinax]
[01/13 Larubahop]
[01/09 DonaldAgivy]
[01/06 Vleozeima]
[01/05 FserivaAcemn]
[01/05 Michaelsog]
[01/03 Elliotorela]
[12/26 RobertStymn]
[12/25 Richardnoins]
[12/25 Gregoryveise]
[12/24 Vealrospere]
[12/24 Williamflape]
[12/23 RodneyKib]
[12/23 RobertDar]
[12/20 BrianBOg]
[12/19 AngelEmuby]
[12/19 Bernardtix]
[12/16 rpg168]
[12/16 Barabannyy_jjma]
[12/13 JosephChoni]
[12/11 Georgezon]
[12/06 StevenDut]
[12/06 SnegariDiums]
最新記事
(07/19)
(08/28)
(04/30)
(03/24)
(10/10)
(10/06)
(08/17)
(07/31)
(07/26)
(07/15)
(07/13)
(07/08)
(06/24)
(06/20)
(04/17)
(04/10)
(03/18)
(03/01)
(01/29)
(12/04)
(11/29)
(11/25)
(11/22)
(11/19)
(11/19)
最新TB
アーカイブ
最古記事
(01/01)
(08/23)
(11/08)
(11/08)
(11/08)
(11/08)
(11/09)
(11/10)
(11/10)
(11/15)
(11/20)
(11/21)
(11/28)
(12/07)
(12/09)
(12/10)
(12/15)
(12/23)
(05/31)
(06/02)
(06/10)
(08/13)
(08/13)
(08/13)
(08/16)
P R
ブログ内検索
アクセス解析
最古記事
(01/01)
(08/23)
(11/08)
(11/08)
(11/08)
(11/08)
(11/09)
(11/10)
(11/10)
(11/15)
(11/20)
(11/21)
(11/28)
(12/07)
(12/09)
(12/10)
(12/15)
(12/23)
(05/31)
(06/02)
(06/10)
(08/13)
(08/13)
(08/13)
(08/16)